掌上金普

2025大连三支一扶招募报名明天开始!附报名入口!

2025-06-25 08:58

2025年大连高校毕业生

“三支一扶”招募计划

将于明天开始报名

大连计划招募65人

小编给大家整理好了

招募岗位、报名时间入口

准考证领取、考试时间等

相关事项安排

有需要的小伙伴

快来看看详情信息吧~

图片


01

招募对象


重点招募2025年普通高校应届毕业生,辅助招募离校未就业的2023年、2024年省内生源普通高校毕业生。已参加“三支一扶”计划人员,不在本次招募范围内。



02

招募条件


1.政治素质好,热爱祖国,拥护党的基本路线和方针政策;

2.具有敬业奉献精神,遵纪守法,作风正派;

3.普通高校专科以上学历。其中,本科及以上学历,须同时具备相应学位;

4.学习成绩良好,具有相应的专业知识和符合岗位要求的工作能力;

5.具有正常履行职责的身体条件;

6.符合招募岗位所要求的资格条件。



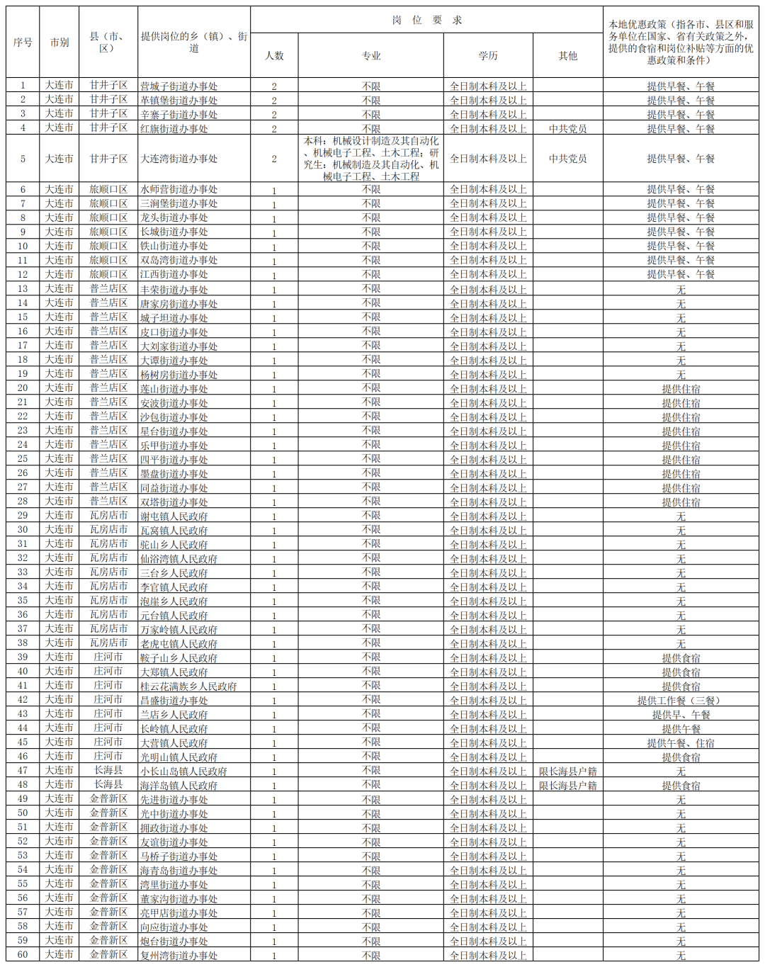
03

招募人数及岗位


全市计划招募65人

(具体岗位如下图所示,可点击放大查看)

图片

图源:大连市人力资源和社会保障局

图片

图源:摄图网-500523953


04

网上报名


报名时间

2025年6月25日9:00-6月27日16:00

报名入口

符合条件的普通高校毕业生可登录辽宁人事考试网(www.lnrsks.com)“三支一扶”计划专栏进行注册报名。

图片

小编推荐

图片

可长摁扫描下方二维码




图片




 关注【大连本地宝】

在聊天消息页面发送【三支一扶

即可快速获取报名入口~

图片



05

打印报名表


报考人员请于2025年6月27日17:00前登录报名网站查询资格初审结果,并打印系统自动生成的《2025年辽宁省“三支一扶”计划报名登记表》(一式三份,以下简称《报名登记表》)。



06

准考证领取


 

领取时间

2025年7月17日至7月18日

8:30-11:30、13:00-16:00

领取地点

大连市人力资源社会保障局(大连市沙河口区联合路100号)一楼大厅高校毕业生服务区。

所需证件

报考人员持《报名登记表》及本人有效身份证件(有效期内居民身份证、临时居民身份证或带照片的社会保障卡,下同)领取准考证。

图片

图源:摄图网-500313670


07

笔试安排


 

笔试时间

2025年7月19日9:00-11:00

笔试时间120分钟,满分为100分

笔试内容

笔试采取闭卷方式,考试科目为《综合知识与能力测试》,内容由公共基础知识职业能力测试组成。



08

联系电话


0411-39997553

logo

Copyright©2022 Neusoft. All rights reserved.

1点击右上角···
2选择在浏览器中打开