掌上金普

2025辽宁高考一分一段表公布!附志愿填报+成绩查询入口!

2025-06-25 09:00

哈喽宝子们~

2025辽宁高考一分一段表

现已公布!

小编给大家整理好了

相关信息详情

快来一起看看吧~

图片


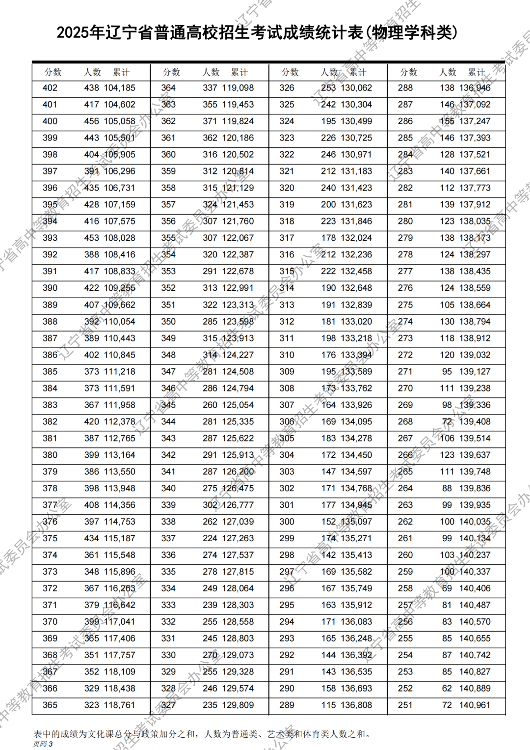
2025年辽宁高考

一分一段表

物理科类

图片
图片
图片
图片

图源:辽宁招生考试之窗



历史科类

图片
图片
图片
图片

图源:辽宁招生考试之窗

图片

图源:摄图网-500625727



2024年辽宁高考

一分一段表

物理学科类

(因篇幅较长,请上下滑动查看)

图片
图片
图片
图片

图源:辽宁招生考试之窗(下同)



历史科类

(因篇幅较长,请上下滑动查看)

图片
图片
图片
图片
图片

图源:摄图网-500406467


查分过后

可以对照一分一段表

看看自己的分数位次

有助于更好的进行志愿填报哦

除此之外

小编整理好了

辽宁高考志愿填报

时间、入口等相关信息

大家记得按时填报哦~

图片


高考志愿填报

填报时间

6月19日14:00-6月30日16:00

填报入口

辽宁省普通高考志愿网上填报系统

网址:https://gkzy.lnzsks.com

每天开放时间为8:00-22:00(除正式志愿填报截止日外)

图片

小编推荐

图片

可长摁扫描下方二维码




图片




 关注【大连本地宝】

在聊天消息页面发送【高考

即可获取高考志愿填报入口~

图片

注意事项

考生志愿以最终确认提交信息为准,考生志愿信息最终确认后,不可修改

在填报志愿规定时间内,如考生志愿未最终确认,本人可自行修改志愿信息

考生如误操作“最终确认”按钮,可于6月29日17:00前,携带身份证等有效证件到报名所在县(市、区)招考办申请取消志愿最终确认。

考生未在规定时间内填报高考志愿,视为放弃高考录取资格。

图片

图源:摄图网-501351508


还没来及查分的小伙伴

小编也给已准备好了查分入口

祝大家都能取得理想成绩

考入心仪大学哦!

图片


高考成绩查询

- 辽宁招生考试之窗-查询中心 -

考生可以登录“辽宁招生考试之窗”网站的“查询中心”查询成绩。

网址:https://www.lnzsks.com

- 辽宁政务服务网 -

考生可进入“辽宁政务服务网”成绩查询界面,输入考生考生号、姓名、身份证号,点击“立即查询”即可查到个人高考成绩。

网址:https://www.lnzwfw.gov.cn/gkcjcx/

- 辽事通APP -

考生可登录“辽事通APP”,点击首页“更多服务”;跳转页面后点击“文体教育”,点击“高考成绩查询”即可进行查询。


高考成绩单打印

打印时间

6月25日9:00起开放打印

打印入口

辽宁招生考试之窗-查询中心

网址:https://www.lnzsks.com/cxzx.html


高校信息查询

进入#大连本地宝 聊天消息页面,在对话框发送:

回复“学校+分数线”可查看往年录取分数线

回复“学校+代码”可查看各大高校学校代码

回复“学校+官网”可查看学校官方网站以及地址电话等官方联系方式

回复“专业+专业代码”可查看专业代码以及关联院校

举例:发送【大连理工大学分数线】,即可查询大连理工大学历年录取分数线信息~

图片
图片
logo

Copyright©2022 Neusoft. All rights reserved.

1点击右上角···
2选择在浏览器中打开